ФотобусАвтобустар галереясы

Информация об изображении

294 КБ


Идентификатор изображения:630213
Размер файла:294 КБ
Автор:роман88
Опубликовано:25.03.2012 15:47 MSK
Находится на сайте, дней:5083
Уникальных просмотров:661
Комментариев:0

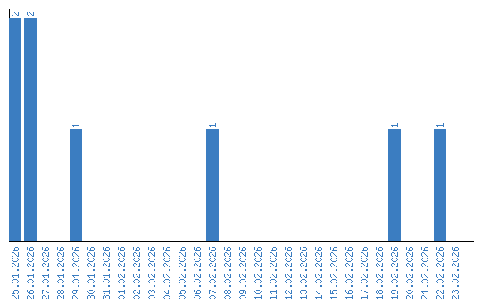
Динамика просмотров по датам