ФотобусАвтобусный транспорт

Информация об изображении

184 КБ


Идентификатор изображения:62873
Размер файла:184 КБ
Автор:Исайченков Валерий
Опубликовано:26.12.2008 23:36 MSK
Находится на сайте, дней:6227
Уникальных просмотров:481
Комментариев:1

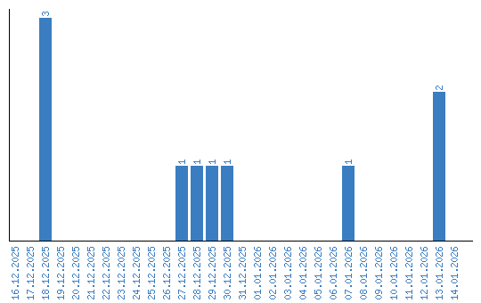
Динамика просмотров по датам