FotobusΜεταφορά με λεωφορείο

Picture Statistics

347 KB


Picture ID:621239
File Size:347 KB
Συγγραφέας:yR29ik
Publication Date:08.03.2012 19:02 MSK
Days in Database:5036
Unique views:490
Comments:12

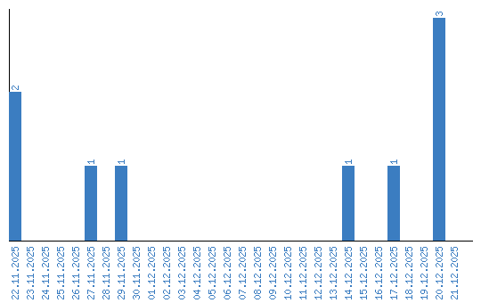
Viewing statistics by date