ФотобусАвтобусный транспорт

Информация об изображении

291 КБ


Идентификатор изображения:606554
Размер файла:291 КБ
Автор:belarso
Опубликовано:12.02.2012 21:33 MSK
Находится на сайте, дней:5083
Уникальных просмотров:284
Комментариев:0

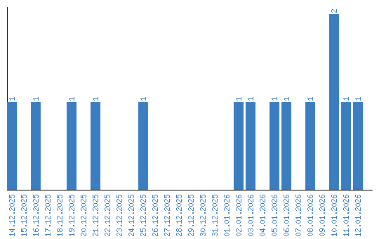
Динамика просмотров по датам