FotobusAutobusų transportas

Nuotraukos informacija

343 KB


Nuotraukos identifikatorius:602879
Bylos dydis:343 KB
Autorius:yR29ik
Publikuota:05.02.2012 01:30 MSK
Yra tinklapyje dienų:5176
Unikalių peržiūrų:371
Komentarų:0

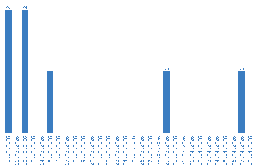
Peržiūrų dinamika pagal dienas