ФотабусАўтобусны транспарт

Iнфармацыя аб малюнку

319 КБ


Ідэнтыфікатар малюнка:601823
Памер файла:319 КБ
Аўтар:Alex-717
Апублікавана:03.02.2012 09:52 MSK
Знаходзіцца на сайце, дзён:5158
Унікальных праглядаў:459
Каментарыяў:0

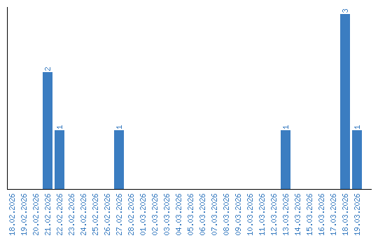
Дынаміка праглядаў па датах