ФотобусАвтобусный транспорт

Информация об изображении

288 КБ


Идентификатор изображения:598824
Размер файла:288 КБ
Автор:Олег Н.
Опубликовано:28.01.2012 21:35 MSK
Находится на сайте, дней:5162
Уникальных просмотров:201
Комментариев:0

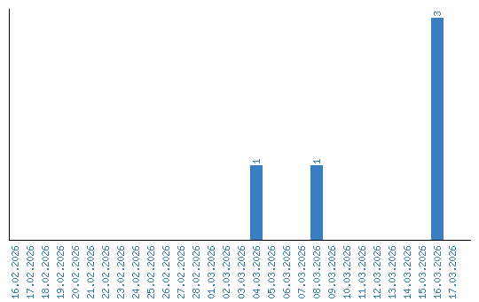
Динамика просмотров по датам