ФотобусАвтобусный транспорт

Информация об изображении

313 КБ


Идентификатор изображения:596628
Размер файла:313 КБ
Автор:TORMOZZ
Опубликовано:24.01.2012 22:24 MSK
Находится на сайте, дней:5140
Уникальных просмотров:431
Комментариев:3

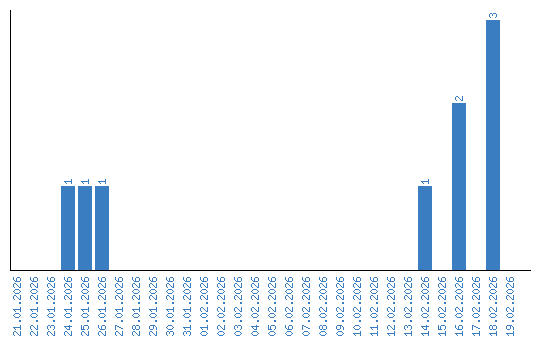
Динамика просмотров по датам