FotobusAutobusų transportas

Nuotraukos informacija

248 KB


Nuotraukos identifikatorius:586811
Bylos dydis:248 KB
Autorius:Alwar
Publikuota:07.01.2012 13:20 MSK
Yra tinklapyje dienų:5056
Unikalių peržiūrų:471
Komentarų:0

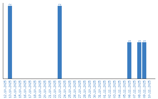
Peržiūrų dinamika pagal dienas