ФотобусАвтобусний транспорт

Статистика по зображенню

318 КБ


Ідентифікатор зображення:584505
Розмір файлу:318 КБ
Автор:Доктор Moskvichman
Опубліковано:02.01.2012 18:18 MSK
Знаходиться на сайті, днів:5218
Унікальних переглядів:447
Коментарів:0

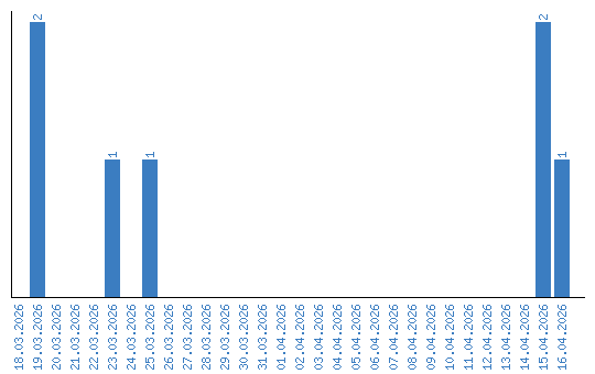
Динаміка переглядів за датами