ФотобусАвтобусный транспорт

Информация об изображении

325 КБ


Идентификатор изображения:581691
Размер файла:325 КБ
Автор:Cедой
Опубликовано:28.12.2011 13:30 MSK
Находится на сайте, дней:5248
Уникальных просмотров:465
Комментариев:0

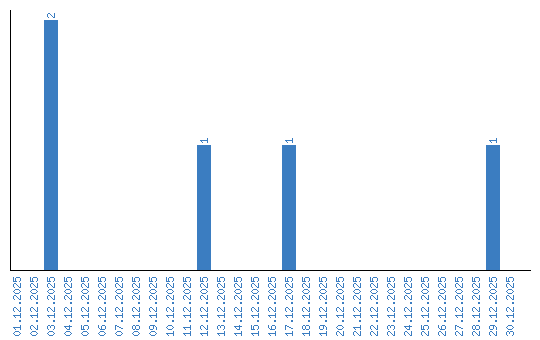
Динамика просмотров по датам