FotobusAutobusų transportas

Nuotraukos informacija

266 KB


Nuotraukos identifikatorius:576530
Bylos dydis:266 KB
Autorius:Alex-Od
Publikuota:16.12.2011 23:06 MSK
Yra tinklapyje dienų:5174
Unikalių peržiūrų:354
Komentarų:0

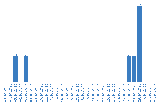
Peržiūrų dinamika pagal dienas