ФотобусАвтобусный транспорт

Информация об изображении

319 КБ


Идентификатор изображения:574501
Размер файла:319 КБ
Автор:Vovcikans
Опубликовано:11.12.2011 18:36 MSK
Находится на сайте, дней:5203
Уникальных просмотров:687
Комментариев:4

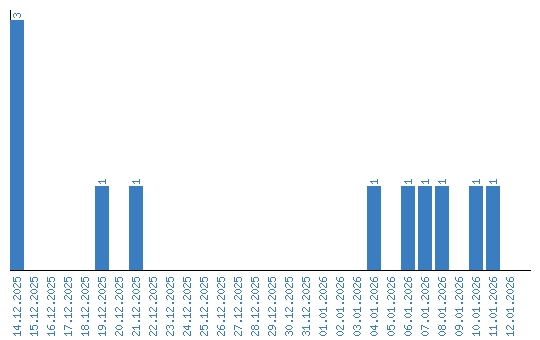
Динамика просмотров по датам