ФотобусАвтобусный транспорт

Информация об изображении

326 КБ


Идентификатор изображения:553715
Размер файла:326 КБ
Автор:Ааре Оландер
Опубликовано:01.11.2011 22:07 MSK
Находится на сайте, дней:5130
Уникальных просмотров:502
Комментариев:0

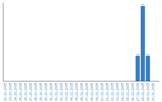
Динамика просмотров по датам