FotobusAutobusų transportas

Nuotraukos informacija

345 KB


Nuotraukos identifikatorius:547256
Bylos dydis:345 KB
Autorius:dimas1713
Publikuota:20.10.2011 23:26 MSK
Yra tinklapyje dienų:5264
Unikalių peržiūrų:355
Komentarų:0

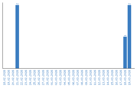
Peržiūrų dinamika pagal dienas