ФотобусАвтобусный транспорт

Информация об изображении

202 КБ


Идентификатор изображения:536614
Размер файла:202 КБ
Автор:alex26
Опубликовано:02.10.2011 02:03 MSK
Находится на сайте, дней:5217
Уникальных просмотров:172
Комментариев:0

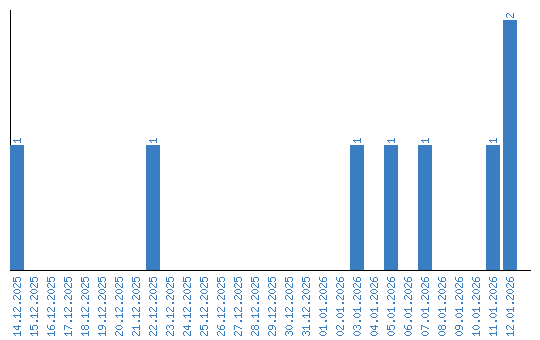
Динамика просмотров по датам