ФотобусАвтобусный транспорт

Информация об изображении

220 КБ


Идентификатор изображения:534385
Размер файла:220 КБ
Автор:EIjas
Опубликовано:28.09.2011 17:50 MSK
Находится на сайте, дней:5281
Уникальных просмотров:238
Комментариев:0

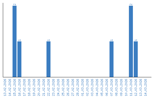
Динамика просмотров по датам