FotobusAutobusová doprava

Statistika obrázku

153 kB


Identifikátor obrázku:53131
Velikost souboru:153 kB
Autor:ONE-T
Zveřejněno:05.11.2008 22:56 MSK
Nachází se na stránkách (dní):6360
Jednotlivých zhlédnutí:309
Komentářů:0

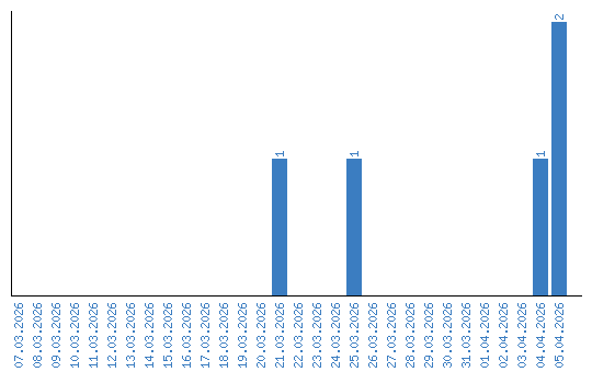
Zhlédnutí po jednotlivých dnech