ФотобусАвтобусный транспорт

Информация об изображении

347 КБ


Идентификатор изображения:530386
Размер файла:347 КБ
Автор:BOSS
Опубликовано:21.09.2011 20:00 MSK
Находится на сайте, дней:5273
Уникальных просмотров:175
Комментариев:0

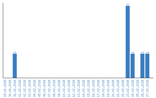
Динамика просмотров по датам