FotobusΜεταφορά με λεωφορείο

Picture Statistics

236 KB


Picture ID:525824
File Size:236 KB
Συγγραφέας:Archi
Publication Date:13.09.2011 22:16 MSK
Days in Database:5177
Unique views:505
Comments:18

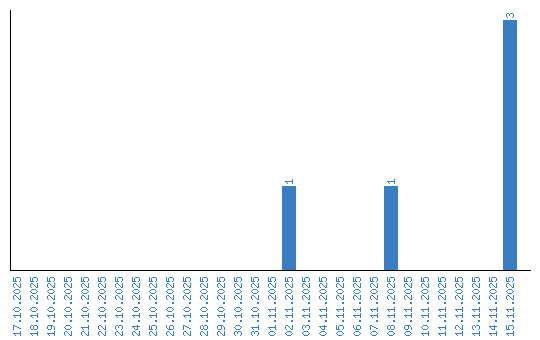
Viewing statistics by date