FotobusBusverkehr

Bildinformationen

239 KB


Foto-ID:518042
Dateigröße:239 KB
Aufgenommen von:Семен Семеныч
Veröffentlicht am:03.09.2011 16:58 MSK
Tage seit Veröffentlichung:5296
Aufrufe:398
Kommentare:0

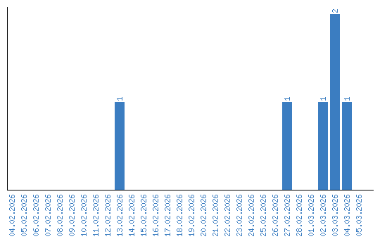
Aufrufestatistik (Tage)