ФотобусАвтобусний транспорт

Статистика по зображенню

241 КБ


Ідентифікатор зображення:502946
Розмір файлу:241 КБ
Автор:Бараш Алексей
Опубліковано:04.08.2011 12:53 MSK
Знаходиться на сайті, днів:5313
Унікальних переглядів:2306
Коментарів:19

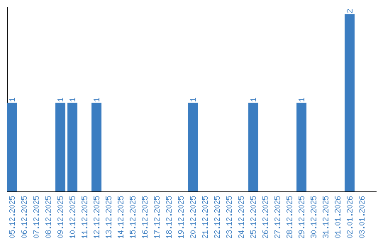
Динаміка переглядів за датами