ФотобусАвтобусный транспорт

Информация об изображении

225 КБ


Идентификатор изображения:501655
Размер файла:225 КБ
Автор:Михаил (FanTrans)
Опубликовано:02.08.2011 11:59 MSK
Находится на сайте, дней:5341
Уникальных просмотров:301
Комментариев:0

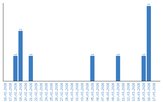
Динамика просмотров по датам