ФотобусАвтобусний транспорт

Статистика по зображенню

176 КБ


Ідентифікатор зображення:495713
Розмір файлу:176 КБ
Автор:Kimster
Опубліковано:20.07.2011 23:11 MSK
Знаходиться на сайті, днів:5369
Унікальних переглядів:673
Коментарів:0

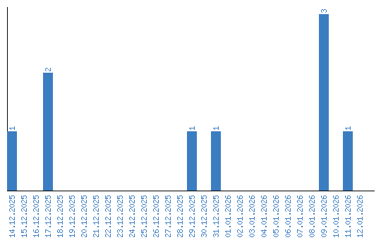
Динаміка переглядів за датами