ФотобусАвтобусный транспорт

Информация об изображении

250 КБ


Идентификатор изображения:495290
Размер файла:250 КБ
Автор:Yozhik_NN
Опубликовано:20.07.2011 09:46 MSK
Находится на сайте, дней:5278
Уникальных просмотров:322
Комментариев:0

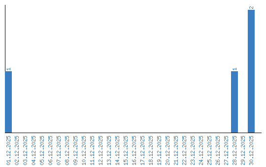
Динамика просмотров по датам