ФотобусАвтобусный транспорт

Информация об изображении

224 КБ


Идентификатор изображения:490430
Размер файла:224 КБ
Автор:AndrejsB
Опубликовано:11.07.2011 19:03 MSK
Находится на сайте, дней:5300
Уникальных просмотров:322
Комментариев:0

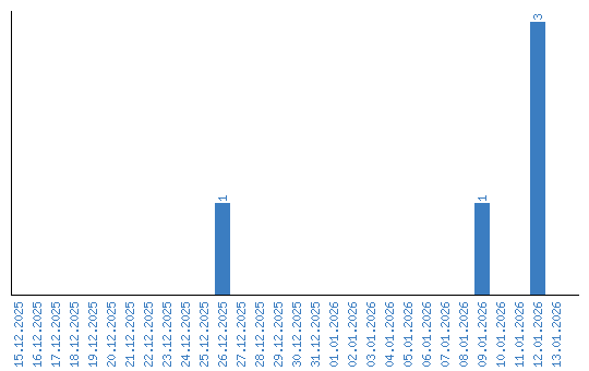
Динамика просмотров по датам