ФотобусАвтобусный транспорт

Информация об изображении

136 КБ


Идентификатор изображения:480243
Размер файла:136 КБ
Автор:ariss_ka
Опубликовано:24.06.2011 09:19 MSK
Находится на сайте, дней:5399
Уникальных просмотров:342
Комментариев:0

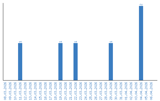
Динамика просмотров по датам