FotobusΜεταφορά με λεωφορείο

Picture Statistics

243 KB


Picture ID:473494
File Size:243 KB
Συγγραφέας:GrekOFF
Publication Date:13.06.2011 22:57 MSK
Days in Database:5269
Unique views:276
Comments:4

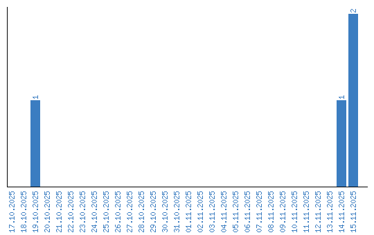
Viewing statistics by date