ФотобусАвтобусный транспорт

Информация об изображении

243 КБ


Идентификатор изображения:468337
Размер файла:243 КБ
Автор:Lindemannn
Опубликовано:05.06.2011 19:18 MSK
Находится на сайте, дней:5281
Уникальных просмотров:867
Комментариев:20

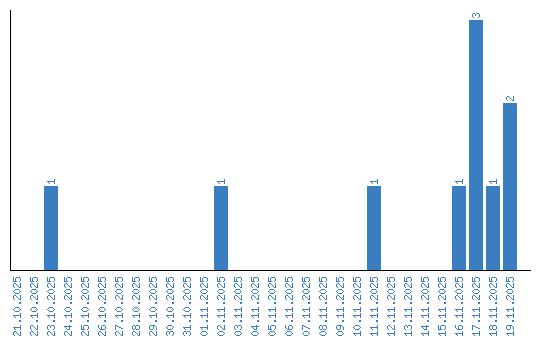
Динамика просмотров по датам