ФотобусАвтобусный транспорт

Информация об изображении

211 КБ


Идентификатор изображения:466677
Размер файла:211 КБ
Автор:Филипп Олегович
Опубликовано:03.06.2011 16:00 MSK
Находится на сайте, дней:5403
Уникальных просмотров:238
Комментариев:0

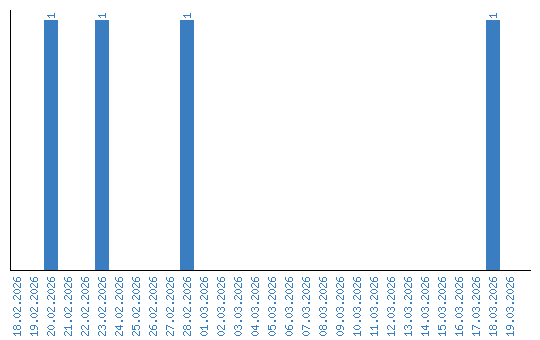
Динамика просмотров по датам