ФотобусАвтобусный транспорт

Информация об изображении

244 КБ


Идентификатор изображения:452712
Размер файла:244 КБ
Автор:wendel
Опубликовано:12.05.2011 22:59 MSK
Находится на сайте, дней:5419
Уникальных просмотров:438
Комментариев:0

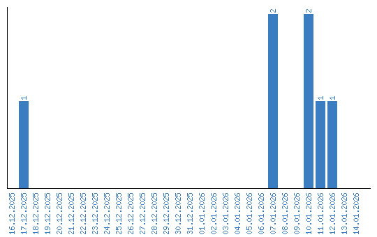
Динамика просмотров по датам