FotobusΜεταφορά με λεωφορείο

Picture Statistics

193 KB


Picture ID:450828
File Size:193 KB
Συγγραφέας:Джесси
Publication Date:10.05.2011 08:11 MSK
Days in Database:5302
Unique views:338
Comments:0

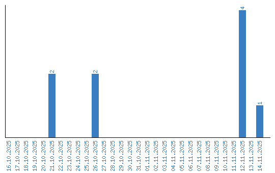
Viewing statistics by date