ФотобусАвтобусный транспорт

Информация об изображении

244 КБ


Идентификатор изображения:427338
Размер файла:244 КБ
Автор:Owanes Cherepowez
Опубликовано:01.04.2011 23:57 MSK
Находится на сайте, дней:5440
Уникальных просмотров:708
Комментариев:0

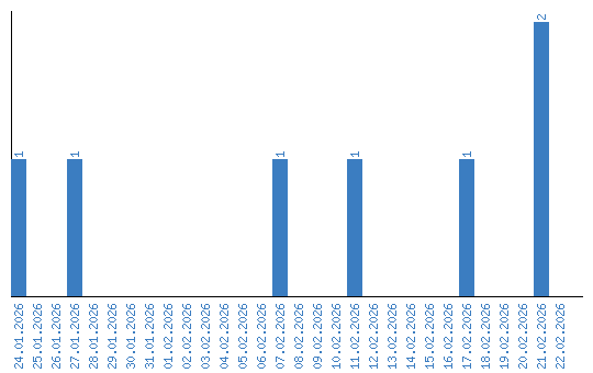
Динамика просмотров по датам