FotobusAutobusa transports

Informācija par attēli

229 KB


Attēla identifikātors:416033
Faila lielums:229 KB
Autors:Сергей Якунин
Ir publicēts:08.03.2011 22:24 MSK
Atrodas vietnē, dienās:5371
Unikāli skatījumi:223
Komentārus:0

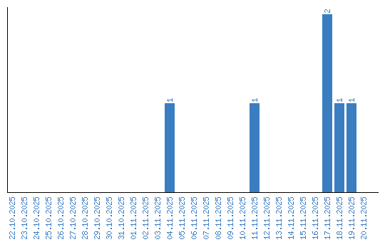
Dinamika skatišana pēc datuma