ФотобусАвтобусный транспорт

Информация об изображении

241 КБ


Идентификатор изображения:407579
Размер файла:241 КБ
Автор:ЖЕКА42rus
Опубликовано:20.02.2011 21:03 MSK
Находится на сайте, дней:5458
Уникальных просмотров:351
Комментариев:0

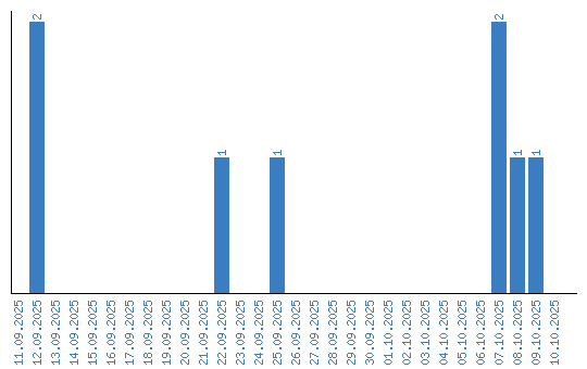
Динамика просмотров по датам