ФотобусАвтобусный транспорт

Информация об изображении

218 КБ


Идентификатор изображения:39981
Размер файла:218 КБ
Автор:Алексей Мякишев
Опубликовано:25.08.2008 23:17 MSK
Находится на сайте, дней:6405
Уникальных просмотров:688
Комментариев:1

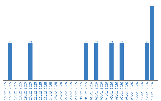
Динамика просмотров по датам