ФотобусАвтобусный транспорт

Информация об изображении

154 КБ


Идентификатор изображения:398592
Размер файла:154 КБ
Автор:DVkor
Опубликовано:06.02.2011 17:51 MSK
Находится на сайте, дней:5460
Уникальных просмотров:372
Комментариев:0

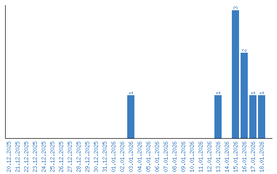
Динамика просмотров по датам