FotobusAutobusa transports

Informācija par attēli

243 KB


Attēla identifikātors:392866
Faila lielums:243 KB
Autors:Apтем Cмирнов
Ir publicēts:27.01.2011 17:48 MSK
Atrodas vietnē, dienās:5502
Unikāli skatījumi:339
Komentārus:0

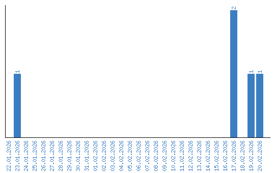
Dinamika skatišana pēc datuma