FotobusBusverkehr

Bildinformationen

186 KB


Foto-ID:383018
Dateigröße:186 KB
Aufgenommen von:KOSIAK
Veröffentlicht am:08.01.2011 11:37 MSK
Tage seit Veröffentlichung:5439
Aufrufe:349
Kommentare:0

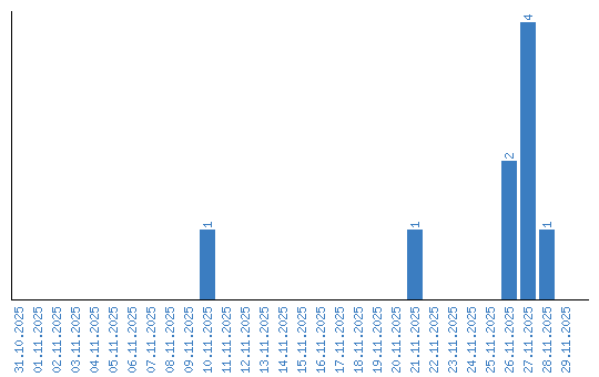
Aufrufestatistik (Tage)