ФотабусАўтобусны транспарт

Iнфармацыя аб малюнку

233 КБ


Ідэнтыфікатар малюнка:378519
Памер файла:233 КБ
Аўтар:alexkidd
Апублікавана:29.12.2010 23:00 MSK
Знаходзіцца на сайце, дзён:5466
Унікальных праглядаў:293
Каментарыяў:0

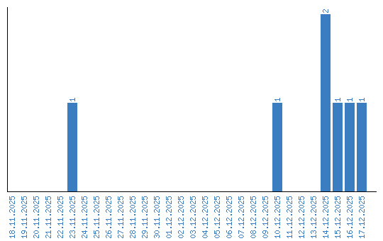
Дынаміка праглядаў па датах