ФотобусАвтобусный транспорт

Информация об изображении

220 КБ


Идентификатор изображения:375882
Размер файла:220 КБ
Автор:Vepr
Опубликовано:22.12.2010 21:00 MSK
Находится на сайте, дней:5479
Уникальных просмотров:576
Комментариев:11

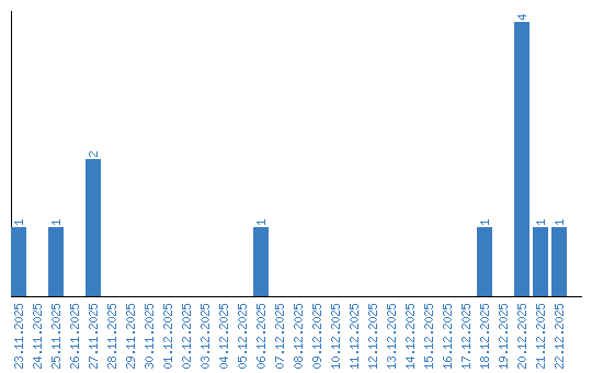
Динамика просмотров по датам