FotobusBusverkehr

Bildinformationen

198 KB


Foto-ID:374677
Dateigröße:198 KB
Aufgenommen von:nik0352
Veröffentlicht am:19.12.2010 20:43 MSK
Tage seit Veröffentlichung:5453
Aufrufe:246
Kommentare:0

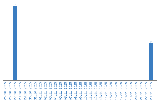
Aufrufestatistik (Tage)