ФотобусАвтобусный транспорт

Информация об изображении

596 КБ


Идентификатор изображения:3733732
Размер файла:596 КБ
Автор:Владислав Захаров
Опубликовано:10.12.2025 13:02 MSK
Находится на сайте, дней:76
Уникальных просмотров:86
Комментариев:0

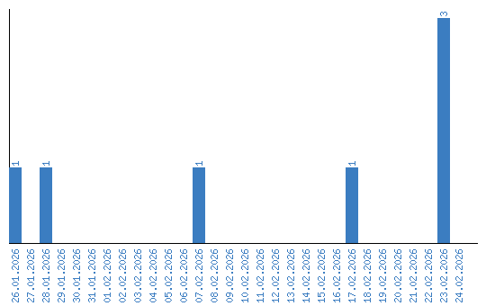
Динамика просмотров по датам