FotobusAutobusų transportas

Nuotraukos informacija

120 KB


Nuotraukos identifikatorius:373259
Bylos dydis:120 KB
Autorius:Anry KB
Publikuota:15.12.2010 23:15 MSK
Yra tinklapyje dienų:5484
Unikalių peržiūrų:188
Komentarų:0

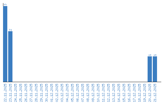
Peržiūrų dinamika pagal dienas