ФотобусАвтобустар галереясы

Информация об изображении

367 КБ


Идентификатор изображения:3700750
Размер файла:367 КБ
Автор:Scorpion30
Опубликовано:21.10.2025 19:01 MSK
Находится на сайте, дней:157
Уникальных просмотров:162
Комментариев:0

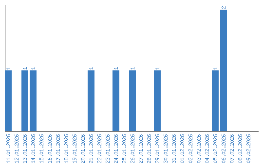
Динамика просмотров по датам