FotobusAutobusų transportas

Nuotraukos informacija

692 KB


Nuotraukos identifikatorius:3688225
Bylos dydis:692 KB
Autorius:Г. Фропткинг
Publikuota:04.10.2025 15:58 MSK
Yra tinklapyje dienų:163
Unikalių peržiūrų:117
Komentarų:0

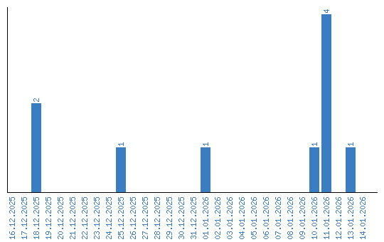
Peržiūrų dinamika pagal dienas