ФотобусАвтобусний транспорт

Статистика по зображенню

640 КБ


Ідентифікатор зображення:3673830
Розмір файлу:640 КБ
Автор:Rai
Опубліковано:16.09.2025 21:24 MSK
Знаходиться на сайті, днів:183
Унікальних переглядів:106
Коментарів:0

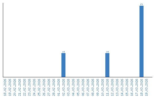
Динаміка переглядів за датами