FotobusBusverkehr

Bildinformationen

558 KB


Foto-ID:3671357
Dateigröße:558 KB
Aufgenommen von:Rai
Veröffentlicht am:13.09.2025 21:30 MSK
Tage seit Veröffentlichung:150
Aufrufe:112
Kommentare:0

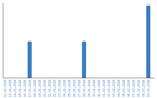
Aufrufestatistik (Tage)