ФотобусАвтобусный транспорт

Информация об изображении

649 КБ


Идентификатор изображения:3664060
Размер файла:649 КБ
Автор:ижевец
Опубликовано:04.09.2025 18:40 MSK
Находится на сайте, дней:210
Уникальных просмотров:241
Комментариев:0

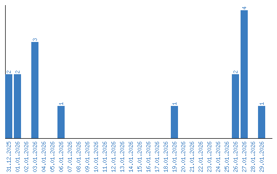
Динамика просмотров по датам