FotobusAutobusová doprava

Statistika obrázku

635 kB


Identifikátor obrázku:3656661
Velikost souboru:635 kB
Autor:alextown
Zveřejněno:25.08.2025 22:46 MSK
Nachází se na stránkách (dní):147
Jednotlivých zhlédnutí:98
Komentářů:0

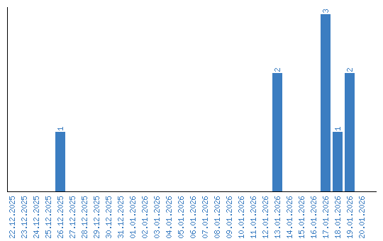
Zhlédnutí po jednotlivých dnech